Menyelesaikan Limit Fungsi Bentuk Tak Tentu
cara cepat menyelesaikan limit fungsi bentuk tak tentu
Hallo,teman-teman kali ini saya akan berbagi tips dalam menyelesaikan soal limit turunan aljabar bentuk tak tentu dengan cepat dan tepat.Nah tentunya ada cara tersendiri untuk memudahkan kita dalam mengerjakan soal limit tersebut,tapi sebelum mengerjakan dengan cara yang cepat tentunya kita harus tahu cara biasanya seperti apa.Jika kita sudah mengerti dengan cara biasa kita dapat menggunakan tips-tips tersebut untik membantu kita dalam mengerjakan soal limit tersebut,apalagi dalam situasi-situasi tertentu misalnya Ulangan Umum Semester,UN,dll,yang tentunya dibatasi oleh waktu.
Saya diajarkan oleh guru Matematika saya yaitu pak Lukas dalam mengerjakan soal limit turunan aljabar bentuk tak tentu dengan cepat,tepat,dan benar.
Berikut ini adalah contoh mengerjaka soal limit turunan aljabar bentuk tak tentu beserta pembahasannya tentunya.
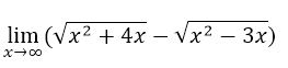
Soal 1.1 : tentukan nilai dari
Penyelesaian :

1416906683665960732

14169067181753855316
Soal 1.2 :
Tentukan nilai dari

Penyelesaian :

14169067672119322498

1416906792888573540
Nah itulah cara menyelesaikan soal limit turunan aljabar bentuk tak tentu dengan cepat.Jika ada kesalahan saya dalam pemaparan diatas mohon maaf.Semoga bermanfaat bagi kita semuanya.
Sekian terimakasih.
sumber : https://www.kompasiana.com/lisna06/54f3c694745513a12b6c7e98/cara-cepat-mengerjakan-soal-limit-fungsi-aljabar-tak-tentu
Komentar
Posting Komentar